Введение
Диссертационное исследование по педагогике, как и любое научное исследование, предполагает анализ и интерпретацию полученных данных, а также сопоставление результатов с данными других исследований и обсуждение полученных выводов, их соответствие поставленной гипотезе [1–3]. Все эти процедуры отражены в формирующем эксперименте исследования как одной из важной составляющей исследовательского процесса в области педагогики, особенно при изучении эффективности различных методик преподавания физики для формирования или изменения определенных навыков, знаний, умений или характеристик у испытуемых [4–6]. Он позволяет выявить слабые стороны текущих методов, внести коррективы и повысить качество обучения на ранних этапах исследования, а также предполагает активное воздействие исследователя на испытуемых с целью достижения желаемого результата. Формирующие педагогические эксперименты позволяют изучать закономерности становления практических умений, навыков и характеристик, оценивать эффективность различных методов обучения и воспитания, разрабатывать новые методики и подходы [7]. Они имеют большое значение в педагогике, психологии, медицине и других областях, где необходимо активно воздействовать на человека с целью изменения его поведения, знаний или умений [8].
Значение анализа формирующего эксперимента позволяет понять, насколько выбранные методики способствуют достижению целей обучения, выявить наиболее эффективные приемы и устранить недостатки. В связи с этим представляется исследовательский интерес корректного выбора метода математической статистики, позволяющего адекватно оценить результаты педагогического эксперимента по проверке разработанной авторской методики формирования практических умений у будущих инженеров направления подготовки «Биотехнические системы и технологии», проводимого на базе Волгоградского государственного медицинского университета. Актуальность данного исследования определяется недостаточной разработанностью методических основ обучения физике будущих инженеров в вузе.
Цель исследования – оценить уровень сформированности знаний и практических умений по физике у будущих инженеров направления подготовки «Биотехнические системы и технологии», доказать эффективность применения авторской методики формирования практических умений у будущих инженеров направления подготовки «Биотехнические системы и технологии».
Материалы и методы исследования
В работе использованы учебно-методические материалы (руководство к лабораторному практикуму по физике с использованием физиотерапевтического медицинского оборудования [9], методические рекомендации для преподавателей, организующих обучение физике студентов по направлению подготовки «Биотехнические системы и технологии», фонд оценочных средств для будущих инженеров медико-биологического профиля); сбор диагностической информации, анализ, тестирование, анкетирование, опрос, экспериментальные методы преподавания физики, методы математической статистики. Экспериментальная работа осуществлялась на базе Волгоградского государственного медицинского университета на протяжении трех учебных годов (с 2022 по 2025 г.) с участием 12 преподавателей и 136 студентов 1-х и 2-х курсов очной формы обучения (95 чел. – экспериментальные группы, 41 чел. – контрольные группы).
Результаты исследования и их обсуждение
Теоретический анализ существующих методов математической статистики позволил выявить ключевые требования к пролонгированному педагогическому эксперименту по проверке динамики уровня сформированности практических умений у будущих инженеров направления подготовки «Биотехнические системы и технологии» в результате применения методики практико-ориентированного обучения физике будущих инженеров в вузе. К числу этих требований отнесены: постановка целей и задач, выбор базы проведения эксперимента, определение объема выборки, выделение приоритетных и вспомогательных диагностируемых параметров, использование различных методов исследования, стремление к полной и объективной фиксации, оформление результатов. Следует отметить, что экспериментальная группа должна быть типичной и по начальному состоянию исследуемого качества она не должна превосходить контрольную группу. При этом контрольная группа должна быть во всех отношениях подобна исследуемой. Для этого участников эксперимента необходимо распределять по группам случайным образом.
Студенты, принимавшие участие в формирующем эксперименте, в количестве 95 чел. Вошли в состав экспериментальной группы, учебные занятия в которой организовывались и проводились согласно следующим этапам формирования практических умений важных для будущей профессиональной деятельности инженера подготовки направления «Биотехнические системы и технологии»:
‒ ознакомительно-информационный этап, заключавшийся в изучении хода физического учебного эксперимента и паспорта медицинского прибора;
‒ операционно-функциональный этап, направленный на непосредственное знакомство с прибором и выполнение учебных измерений с оформлением протокола лабораторной работы, включающего дополнительные пункты хода работы, важные для будущих инженеров;
‒ структурно-технический этап, заключавшийся в изучении основных блоков прибора и принципа его действия с описанием назначения требуемых деталей;
‒ проблемно-ориентированный этап, предполагавший анализ биотехнической и медико-биологической составляющих метапредметного знания по физике с позиций:
а) человек как биосистема и биообъект (биосистема: сердечно-сосудистая система, биообъект: сердечная мышца);
б) физические факторы, процессы и явления как закономерности в норме и патологии у биосистемы или биообъекта (физический процесс: течение вязкой жидкости по гладким цилиндрическим трубам, а с точки зрения биосистемы это кровь и сосуды, биообъект – электрический генератор, физические явления – процесс поляризации и деполяризации, когда распространяется электрический заряд во время возбуждения и расслабления сердечной мышцы);
в) аппаратура для медико-биологических исследований (устройство и принцип функционирования механической, электрической, осветительной части приборов, техника безопасности при включении, выключении и контакте прибора с телом пациента).
Оценка высокого, среднего и низкого уровней сформированности знаний и практических умений по физике по результатам проверки применения методики практико-ориентированного обучения физике будущих инженеров осуществлялась в соответствии со следующими критериями: а) критерий профессионально-ориентированной готовности и способности выполнять и решать поставленные задачи (предполагает прочные высокие знания физических законов, процессов и явлений, но и достижение высокого уровня владения практическими умениями); б) теоретико-практический критерий (соответствует достижению среднего уровня сформированности практических умений и предполагает освоение неполного набора практических умений); в) удовлетворительный критерий (соотносится с низким уровнем сформированности знаний и практических умений, когда студент демонстрирует слабые теоретические знания по физике и не может применить их на практике).
Каждый критерий сформированности практических умений характеризуется готовностью и способностью:
1) объяснять ход выполнения лабораторной работы без опоры (с опорой) на инструкцию и непонимание или полное представление об основных сведениях в паспорте прибора;
2) использовать прибор, детализировать требуемые лабораторные измерения и самостоятельно работать с лабораторной техникой; вести протокол измерений по требованиям;
3) уметь читать принципиальную схему прибора, давать пояснения к элементам электрической цепи, демонстрировать понимание назначения электрического элемента в работе прибора или пояснять особенности функционирования прибора с физико-технической точки зрения;
4) решать ситуационные и профильно-ориентированные задачи или самостоятельное решение задач любого типа и уровня сложности.
В качестве примера оценочных средств, используемых для проверки уровней сформированности уровня практических умений будущего инженера направления подготовки «Биотехнические системы и технологии», приведем:
‒ профильно-ориентированную задачу об искусственном клапане сердца как биообъекте: «Искусственный клапан сердца имеет площадь поперечного сечения 4 см². Скорость кровотока через клапан составляет 30 см/с. Какой объем крови проходит через клапан за 1 минуту?»;
‒ ситуационную задачу, позволяющую определить готовность и способность будущего инженера медико-биологического профиля выполнять соответствующие действия с медицинской аппаратурой:
1. Практическое задание: «Настройте ЭКГ-аппарат для стресс-теста (подключите электроды по схеме Мейсона – Лика, установите частоту дискретизации ≥ 500 Гц, включите частотный фильтр 0,05–150 Гц, проведите калибровку (1 мВ = 10 мм)».
2. Лабораторные измерения: «Определите коэффициент поглощения ультразвука в фантоме мышечной ткани (для этого измерьте амплитуду сигнала до и после прохождения образца; определите, по какой формуле можно рассчитать коэффициент поглощения ультразвука, рассчитайте его и сравните с эталонным значением (0,3–0,7 см⁻¹)».
Тестовые задания по физике также могут использоваться для проверки знаний и практических умений по физике медико-биологического профиля, например при проверке понимания будущими инженерами основ медицинской физики: «Выберите правильный ответ для случая, когда ультразвуковая волна проходит через границу раздела мышца – кость: а) большая часть энергии отражается; б) коэффициент прохождения близок к 100 %; в) скорость распространения в кости уменьшается; г) импеданс тканей не влияет на процесс».
В табл. 1 приведены результаты педагогического эксперимента по проверке применения методики практико-ориентированного обучения физике будущих инженеров, которые демонстрируют эффективность используемых методов и приемов обучения физике в вузе с учетом будущей профессиональной деятельности инженеров медико-биологического профиля.
Таблица 1
Общая динамика сформированности практических умений будущих инженеров
направления подготовки «Биотехнические системы и технологии»
|
Уровень сформированности практических умений |
Распределение студентов по уровням сформированности практических умений, чел. И % |
|||||||
|
на начало эксперимента |
на конец эксперимента |
|||||||
|
экспериментальная группа |
контрольная группа |
экспериментальная группа |
контрольная группа |
|||||
|
чел. |
% |
чел. |
% |
чел. |
% |
чел. |
% |
|
|
Высокий |
8 |
8 % |
3 |
7 % |
15 |
16 % |
5 |
12 % |
|
Средний |
45 |
47 % |
20 |
49 % |
60 |
63 % |
25 |
61 % |
|
Низкий |
42 |
44 % |
18 |
44 % |
20 |
21 % |
11 |
27 % |
|
Итог |
95 |
100 % |
41 |
100 % |
95 |
100 % |
41 |
100 % |
Источник: составлено авторами на основе полученных данных в ходе исследования.
Для подтверждения точности полученных результатов было принято решение о проведении выбора статистических методов, которые используются в педагогике для определения эффективности применения авторской методики, оценки уровней знаний и практических умений обучающихся, а также выявлении взаимосвязей между различными педагогическими факторами и принятием обоснованного научно подтвержденного решения.
Широкое распространение в педагогических исследованиях получили такие статистические методы, как набор инструментов и техник, используемых для сбора, анализа, интерпретации и представления данных, связанных с образовательной деятельностью, результатами обучения и педагогическими процессами [10, 11]. Они позволяют педагогам и исследователям объективно оценивать эффективность методов обучения, выявлять закономерности и принимать обоснованные решения.
Одним из статистических методов является инференциальная статистика как раздел статистики, который занимается выводами обо всей генеральной совокупности на основе данных, полученных из выборки. В педагогике она используется для обоснованной оценки учебных результатов, определения эффективности методов обучения, сравнения групп и выявления закономерностей в образовании [12]. Основным методом инференциальной статистики в педагогике является критерий χ² («хи-квадрат») – для анализа взаимосвязей между категориальными переменными (например, уровни знаний в разных группах). Данный метод широко и эффективно применяется при анализе данных формирующего эксперимента диссертационного исследования по педагогике [13].
К основным особенностям применения этого статистического критерия в педагогической сфере относятся: оценка связи между переменными (например, для проверки зависимости двух категориальных переменных, например, уровень подготовки и выбор формы обучения или степень мотивации и успешность в учебе); не требует предположения о нормальности распределения; используется для анализа частотных данных (применяется к таблицам сопряженности, соотносящим количественные или качественные показатели, например, при анализе распределения ответов обучающихся по категориям); позволяет выявить статистическую значимость связей (путем сравнения наблюдаемых и ожидаемых частот можно определить, существует ли статистически значимая связь между переменными, что важно при оценке эффективности педагогических методов или программ); проста в вычислении и интерпретации (в педагогической практике он широко применяется из-за своей относительной простоты – достаточно составить таблицу сопряженности и произвести расчет); имеет ограничения при малых выборках (для малых объемов данных или при очень редких категориях рекомендуется использовать точечные методы (например, точный критерий Фишера), так как «хи-квадрат» может показывать недостоверные результаты) [14]. Критерий «хи-квадрат» в диссертационных исследованиях по педагогике – это важный инструмент для выявления статистических зависимостей между качественными характеристиками обучающихся, педагогическими практиками и результатами обучения, что способствует принятию обоснованных решений в образовательной деятельности [15, 16]. Принимая во внимание, что критерий «хи-квадрат» (χ², chi-squared) – это статистический критерий, используемый для проверки гипотез о взаимосвязи между категориальными переменными, определим его в качестве основного для ответа на вопрос: есть ли статистически значимая разница между наблюдаемыми и ожидаемыми частотами повторяемости в проведенном пролонгированном педагогическом эксперименте.
Критерием для принятия решения и умозаключений по эффективности используемых методов и приемов обучения физике в вузе с учетом будущей профессиональной деятельности инженеров медико-биологического профиля является величина χ². Для нахождения данной величины используется расчетная таблица (табл. 2).
Таблица 2
Определение эмпирического значения статистики критерия χ² «хи-квадрат» для уровней сформированности практических умений у будущих инженеров направления подготовки «Биотехнические системы и технологии»
|
Уровень |
|
|
|
|
|
|
|
Высокий |
15 |
5 |
10 |
100 |
20 |
11,67 |
|
Средний |
60 |
25 |
35 |
1225 |
85 |
45,42 |
|
Низкий |
20 |
11 |
9 |
81 |
31 |
15,05 |
|
Итого |
72,13 |
|||||
Источник: составлено авторами на основе полученных данных в ходе исследования.
В представленной расчетной таблице
– число объектов первой выборки, попавших в
– категорию по состоянию изучаемого свойства (экспериментальная группа);
– число объектов второй выборки попавших в
– категорию по состоянию изучаемого свойства (контрольная группа);
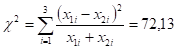
– общее число наблюдений по категориям. Искомое эмпирическое значение критерия вычисляется по формуле
.
Критическое значение статистики критерия находим для
(данное значение дает более точное значение и используется в педагогических исследованиях) и числа степеней свободы 
. Критическое значение статистики критерия «хи-квадрат»:
. Эмпирическое значение статистики критерия
больше ее критического значения (72,13 > 5,99), поэтому в соответствии с правилом принятия решения имеем достаточное основание для отклонения нулевой гипотезы. Поскольку соответствующая процедура в начале эксперимента не выявила достоверных различий между распределениями студентов обеих групп по уровням сформированности практических умений у будущих инженеров направления подготовки «Биотехнические системы и технологии», можно констатировать достаточную эффективность предложенной методики формирования практических умений у будущих инженеров направления подготовки «Биотехнические системы и технологии».
Проведенное исследование позволило сделать ряд значимых выводов, важных для совершенствования системы подготовки будущих инженеров при обучении физике.
По результатам применения разработанной методики практико-ориентированного обучения физике будущих инженеров направления подготовки «Биотехнические системы и технологии», в рамках настоящего исследования количество обучающихся с низким уровнем сформированности практических умений в экспериментальной группе уменьшилось на 23 %, в то время как в контрольной – на 17 %, а прирост будущих инженеров с высоким уровнем сформированности практических умений составил 8 %, что в 1,51 раза больше, чем в контрольной группе.
Заключение
Проведенное исследование подтвердило необходимость и целесообразность применения методики практико-ориентированного обучения физике будущих инженеров в вузе. Педагогический эксперимент по проверке динамики уровня сформированности практических умений у будущих инженеров в результате применения авторской методики позволил подтвердить практическую значимость, которая подтвердилась достоверностью статистических методов, используемых на этапе формирующего эксперимента. Полученные результаты могут использоваться для дальнейшего совершенствования образовательных программ, по которым обучаются будущие инженеры направления подготовки «Биотехнические системы и технологии» в вузах, разработки учебно-методических материалов в соответствии с предложенной методикой, включающей формирование практических умений у будущих инженеров на лабораторных занятиях по физике и диагностику уровня сформированности этих умений. А результаты использования статистического метода оценки в ходе формирующего обучающего эксперимента создают научную основу для дальнейшего эффективного анализа данных, полученных в ходе его реализации в условиях педагогической практики. Выбранный статистический метод критерия «хи-квадрат» дает обоснованные выводы по результатам применения методики практико-ориентированного обучения физике будущих инженеров в вузе.
Библиографическая ссылка
Горбузова М.С., Тараненко Т.А., Чеусова Л.А., Шемякина С.А. ПЕДАГОГИЧЕСКИЙ ЭКСПЕРИМЕНТ ПО ПРОВЕРКЕ ЭФФЕКТИВНОСТИ ПРИМЕНЕНИЯ МЕТОДИКИ ПРАКТИКО-ОРИЕНТИРОВАННОГО ОБУЧЕНИЯ ФИЗИКЕ БУДУЩИХ ИНЖЕНЕРОВ // Современные проблемы науки и образования. 2025. № 4. ;URL: https://science-education.ru/en/article/view?id=34210 (дата обращения: 22.04.2026).
DOI: https://doi.org/10.17513/spno.34210









