Введение
Дисплазия тазобедренного сустава является наиболее частой патологией тазобедренного сустава с крайней степенью проявления в виде врожденного вывиха бедра. Ранняя диагностика, своевременность лечения не утратили актуальность и на современном этапе по причине риска развития дегенеративно-дистрофических изменений с функциональными нарушениями в подростковом возрасте и старше 18 лет [1, 2]. Существуют различные теории этиологии и патогенеза диспластического коксартроза с раскрытием картины пускового механизма этого процесса в головке бедренной кости. Многими исследователями выявлен ряд предпосылок и факторов биомеханического, анатомического и генетического характера [3, 4]. Патологическая ориентация вертлужной впадины и проксимального отдела бедренной кости, даже при сохранности внешних (макроскопических) характеристик хрящевого покрова, предрасполагает к ранним дегенеративным изменениям тазобедренного сустава. В настоящее время все больше зарубежных научных исследований посвящено определению уровня биохимических маркеров, которые участвуют в созревании хрящевой и костной ткани на этапах развития ребенка, а также играют роль в нарушении процессов структурной организации суставного хряща [5, 6]. Много научных работ посвящено выявлению металлопротеиназ, в первую очередь 3, 9 и 13 типа, а также интерлейкинов 6 и 9, выработка которых взаимосвязана с металлопротеиназами [7–9]. Доказано, что металлопротеиназы 3, 9, 13 способны лизировать коллагены различных типов, аггрекан, эластин, ламинин, фибронектин и другие белки межклеточного матрикса, что влечет за собой дезинтеграцию коллагеновых структур хряща. В большинстве исследований, посвященных определению уровня этих цитокинов, отмечено повышение показателей при ревматических заболеваниях, системных заболеваниях скелета у пациентов взрослого возраста [10–12]. Помимо этого, определены гены-кандидаты, «кодирующие формирование дисплазии тазобедренного сустава», ответственные за выработку металлопротеиназ. Одним из таких является ген белка плазмы-А2 (PAPPA2) [13–15]. Таким образом, направление по исследованию уровня сывороточных (возможно, и тканевых) биохимических маркеров может стать актуальным. Проведение пилотного исследования по выявлению изменения уровней металлопротеиназ и интерлейкинов (повышение либо уменьшение) в сыворотке крови у пациентов, оперированных с дисплазией тазобедренного сустава, поможет охарактеризовать течение воспалительных либо дегенеративных процессов в тазобедренном суставе, что в комплексе с лучевыми методами диагностики позволит выстроить программу динамического наблюдения и лечения.
Цель исследования – изучение уровней сывороточных металлопротеиназ 3, 9, 13 и интерлейкинов 6 и 9 у детей с дисплазией тазобедренного сустава.
Материал и методы исследования
За период с 2022 по 2024 г. в отделении детской ортопедии Новосибирского НИИТО им. Я.Л.Цивьяна проведено исследование металлопротеиназ и интерлейкинов в сыворотке крови 88 пациентов с дисплазией тазобедренного сустава различной степени тяжести, как в виде изолированной ацетабулярной дисплазии, так и в сочетании с дислокацией бедра. В возрасте до 9 лет использована классификационная система по IHDI, для 10 лет и старше – по Crow, а помимо этого, в возрасте старше 10 лет оценивали также рентгенологические признаки стадий дегенеративно-дистрофических изменений (согласно классификации Тонниса). Возраст пациентов составил от 1 года до 17 лет (средний возраст – 5,5 лет), мальчиков – 18, девочек – 70. Критерии исключения были следующие: наличие у детей любого острого воспалительного процесса либо обострения хронического, системных заболеваний скелета, частые респираторные инфекции в анамнезе, постоянный прием препаратов, направленных на коррекцию иммунитета. Контрольная группа в данном пилотном исследовании не предусмотрена.
Методика исследования включала в себя стандартные принципы забора крови в пробирки, маркированные с индивидуальными данными. Забор крови у всех пациентов проводился в день госпитализации перед оперативным вмешательством. В работе использовано следующее оборудование: фотометр лабораторный медицинский Immunochem-2100, устройство для промывки микропланшет Immunochem-2600, устройство для встряхивания и инкубации Immunochem-2200. В сыворотке определяли уровень металлопротеиназ (ММР) и интерлейкинов (ИЛ): ММР-3, MMP-9, MMP-13, ИЛ-6, ИЛ-9. Для определения ИЛ-6 использованы реактивы Вектор-Бест (Россия), в качестве реактивов для определения ИЛ-9 и металлопротеиназ применен набор SEA081Hu 96 Tests. За основную гипотезу исследования взяли возможную зависимость уровней от возраста пациентов, так как в детском возрасте тяжелых дегенеративных изменений у пациентов, оперированных по поводу врожденного вывиха бедра, не отмечено.
Пациенты были распределены на три возрастные группы: группа 1 – 46 детей до пятилетнего возраста (у 7 признаки ишемического некроза головки бедренной кости); группа 2 – 22 пациента 5–10 лет (10 из них имели начальные признаки дегенеративных изменений) и группа 3 – 20 подростков старше 10 лет (у 11 из них выявлены рентгенологические признаки коксартроза 1 степени). Пациентам всех групп было показано оперативное лечение, объем вмешательства соответствовал возрасту и особенностям дисплазии. Пациентам группы 1 выполнены хирургические вмешательства либо в объеме изолированного открытого вправления вывиха бедра, либо в сочетании с корригирующей межвертельной остеотомией бедренной кости и реконструкцией впадины (остеотомия таза по Солтеру или ацетабулопластика по Дега), в группу 2 включены пациенты, которым ранее было выполнено аналогичное вмешательство, либо в возрасте 5–10 лет они подверглись коррекции остаточной дисплазии путем корригирующей межвертельной остеотомии и тройной остеотомии таза, группу 3 составили пациенты, которым было выполнено вмешательство – тройная остеотомия таза по поводу остаточной ацетабулярной дисплазии с начальными признаками коксартроза 1 степени. При оценке ортопедического статуса каких-либо возрастных особенностей выявлено не было: хромота при ходьбе, укорочение нижней конечности. Пациенты группы 3 имели жалобы на боль при физической нагрузке.
Статистические методы. Распределения данных ИЛ-6, ИЛ-9, MMP-9, ММР-13, ММР-3 и возраста не соответствовали критерию нормальности Шапиро – Уилка (у всех p < 0,001, кроме ММР-3, p = 0,027), поэтому для исследования применялись непараметрические методы. Дескриптивные характеристики представлены через универсальные квартили (МЕД [Q1; Q3]), минимальные и максимальные значения (МИН – МАКС). Группы сравнивались двусторонним U-критерием Манна – Уитни. Коррекции достигнутого уровня значимости p при множественных сравнениях проводились процедурой Бенджамини – Хохберга. Парные числовые ассоциации выявлялись расчетом коэффициентов корреляции Спирмена. При достигнутом уровне значимости р < 0,05 различия и корреляции считались статистически значимыми. Статистическая обработка и подготовка диаграмм проводились на языке R (версии 4.4.2 (2024-10-31 ucrt)) в IDE RStudio (версии 2025.05.0 + 496).
Результаты исследования и их обсуждение
Анализ показателей осуществлялся в каждой возрастной группе. Отмечено, что у пациентов группы 1, которым было выполнено первичное оперативное вмешательство в полном объеме, включающее открытое вправление вывиха бедра с корригирующей межвертельной остеотомией бедренной кости и реконструкцией впадины, выявлено повышение уровня всех исследуемых типов металлопротеиназ. Так, медианный уровень сывороточной MMP-13 составлял 19 нг/мл, медианный уровень ММР-9 составлял 7,7 нг/мл, а медианный уровень ММР-3 – 608,8 нг/мл. Показатели ММР-3 в группе 2 были статистически значимо ниже, чем в группах 1 и 3, p = 0,035 и p = 0,003 соответственно. Уровни же сывороточных ММР-9 и ММР-13 статистически значимых различий между группами не имели Наибольшие различия между группами отмечены при анализе уровня ММР-3 (р = 0,035, p = 0,003). Можно предположить, что при травматичном вмешательстве, в первую очередь у детей до 5 лет, происходят процессы ангиогенеза в структурах тазобедренного сустава, потенцируемые металлопротеиназами, которые, как уже было отмечено ранее, могут способствовать изменениям хрящевого покрытия сустава. Определяемые минимальные показатели металлопротеиназ, например ММР-3 с уровнем до 480 нг/мл, отмечены у пациентов с минимально травматичным вмешательством в виде изолированного открытого вправления вывиха бедра. Изменения уровня ИЛ-9 и ИЛ-6 в сравниваемых группах статистически незначимые. В отдельных случаях повышение концентрации ИЛ-6 отмечалось у детей раннего возраста с врожденным вывихом бедра перед выполнением первичного хирургического реконструктивного вмешательства, а также в возрасте старше 10 лет, когда пациенты поступали с признаками остаточной дисплазии и диспластического коксартроза. Средние показатели и выявленные диапазоны изучаемых цитокинов представлены в табл. 1.
Таблица 1
Сравнение уровней металлопротеиназ и интерлейкинов между возрастными группами пациентов
|
Показа-тели |
Все пациенты N = 88 |
Группа 1 До 5 лет N = 46 |
Группа 2 5–10 лет N = 22 |
Группа 3 11–17 лет N = 20 |
U-критерий V-Манна – Уитни |
|
МЕД [Q1; Q3] (МИН - МАКС) |
p-уровень, коррекция p |
||||
|
IL-6, нг/мл |
5,70 [3,77; 34,11] (2,55–465,37) |
5,3 [3,7; 49,5] |
7,5 [3,6; 27,2] |
5,3 [4,0; 39,7] |
1–2: 0,820, > 0,999 |
|
IL-9, нг/мл |
4,88 [2,87; 6,57] (0,06–68,79 ) |
5,1 [3,0; 8,3] |
4,7 [2,7; 6,4] |
4,6 [2,9; 6,4] |
1–2: 0,554, > 0,999 |
|
MMP-9, нг/мл |
8,37 [4,66; 14,20] (0,28–25,04 ) |
7,7 [3,8; 11,5] |
8,4 [5,6; 11,5] |
9,3 [7,3; 19,0] |
1–2: 0,500, 0,923 |
|
ММР-13, |
16,92 [10,76; 35,91] (3,01–356,75) |
19,0 [12,1; 52,9] |
19,1 [9,7; 48,1] |
14,1 [10,5; 18,0] |
1–2: 0,800, 0,800 |
|
ММР-3, нг/мл |
607,87 [480,81; 731,55] |
608,8 [472,8; 722,1] |
539,9 [415,6; 609,9] |
703,6 [576,8; 864,2] |
1–2: 0,035*, 0,069 |
* – статистически значимые различия, p < 0,05.
Примечание: составлена авторами на основе полученных данных в ходе исследования
Корреляционный анализ уровней металлопротеиназ и интерлейкинов у детей различных возрастных групп показал наличие зависимости от возраста концентраций сывороточных ММР-3 у детей до 5 лет и ММР-13 в общей группе (табл. 2).
Таблица 2
Корреляции уровней металлопротеиназ и интерлейкинов с возрастом в группах пациентов
|
Показатель |
Общая группа N = 88 |
До 5 лет N = 46 |
5–10 лет N = 22 |
11–17 лет N = 20 |
|
|
|
r (p) |
||||
|
IL-6, нг/мл |
0,02 (0,822) |
0,10 (0,495) |
0,08 (0,709) |
0,11 (0,646) |
|
|
IL-9, нг/мл |
-0,12 (0,249) |
-0,24 (0,113) |
0,4 (0,063) |
0,43 (0,058) |
|
|
MMP-9, нг/мл |
0,15 (0,151) |
-0,04 (0,769) |
0,11 (0,622) |
0,27 (0,245) |
|
|
MMP-13, нг/мл |
-0,24 (0,027*) |
-0,20 (0,174) |
-0,3 (0,168) |
-0,1 (0,689) |
|
|
MMP-3, нг/мл |
-0,1 (0,372) |
-0,48 ( < 0,001*) |
-0,01 (0,982) |
-0,41 (0,071) |
|
* – статистически значимые корреляции, p < 0,05.
Примечание: составлена авторами на основе полученных данных в ходе исследования
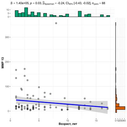
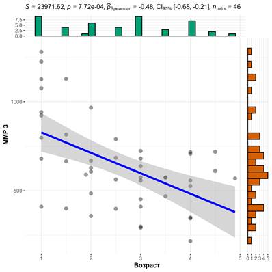
Выявлена статистически значимая отрицательная слабая связь между уровнями ММР-13 и возрастом детей (коэффициент корреляции r = -0,24; p = 0,027) (рис. 1) и значимая отрицательная средняя связь между уровнями ММР-3 и возрастом детей в группе 1 (коэффициент корреляции r = -0,48; p < 0,001) (рис. 2).
Таким образом, выявление изменяющихся уровней ММР можно расценить как биохимический показатель, который может реализоваться в случае неблагоприятного течения структурной реорганизации тазобедренного сустава в послеоперационном периоде, например при ишемическом некрозе головки бедренной кости либо ранних дегенеративных изменениях в виде коксартроза. Статистически значимой связи в показателях уровней ММР-13 с типом ранее выполненной операции не выявлено, однако в частных случаях у пациентов с менее травматичным вмешательством в виде простого открытого вправления вывиха бедра, показатели ММР-13 были наименьшими.

Рис. 1. Диаграмма рассеяния между уровнем ММР-13 и возрастом детей в общей группе
Примечание: составлен авторами по результатам данного исследования

Рис. 2. Диаграмма рассеяния между уровнем ММР-3 и возрастом детей в группе 1
Примечание: составлен авторами по результатам данного исследования
Показатели ММР-9 выявлены преимущественно у детей раннего детского возраста, однако статистически значимая корреляция уровня MMP-9 с возрастом не выявлена (r = 0,15; p = 0,151) (рис. 3). В отдельных случаях просматривается тенденция к увеличению уровня ММР-9 по мере возраста ребенка.

Рис. 3. Диаграмма рассеяния между уровнем ММР-9 и возрастом в общей группе
Примечание: составлен авторами по результатам данного исследования
Что касается исследуемого показателя ИЛ-6, то следует отметить наличие отклонений (прирост концентрации) в некоторых случаях, при этом не было выявлено значимой возрастной корреляции (r = 0,02; p = 0,822) (рис. 4).

Рис. 4. Диаграмма рассеяния между уровнем ИЛ-6 и возрастом в общей группе
Примечание: составлен авторами по результатам данного исследования
Как было уже отмечено ранее, при анализе результатов выявлено снижение концентрации уровня MMP-13 у пациентов с возрастом в общей группе и снижение концентрации уровня ММР-3 с возрастом в группе 1, что может свидетельствовать о ремоделировании хрящевых структур сустава. У некоторых пациентов старше 10 лет с рентгенологическими признаками остаточной дисплазии и ранних дегенеративных изменений наблюдалось повышение концентрации ММР-13 (рис. 5). Таким образом, наблюдение за уровнем ММР-3 и ММР-13 у пациентов может использоваться для косвенного контроля состояния сустава.

Рис. 5. Диаграмма уровней ММР-13 у пациентов с отсутствием и наличием проявлений дегенеративных (ишемических) изменений тазобедренного сустава в общей группе (часть данных отсутствовала)
Примечание: составлен авторами по результатам данного исследования
На основании проведенного анализа показателей выявлено, что уровень ММР-13 изменяется в комплексе с ИЛ-6, в некоторых случаях значения которого достигали 465,37 нг/мл. Так, у 75 % пациентов уровень ИЛ-6 превосходил значение 1-го квартиля (q1) 3,77нг/мл (рис. 6).

Рис. 6. Диаграмма распределения уровней ИЛ-6 (вертикальная синяя пунктирная линия – среднее арифметическое значение)
Примечание: составлен авторами по результатам данного исследования
Данное исследование имеет определенные недостатки детализации показателей, например, в зависимости от типа и сроков операции, корреляции с особенностями показателей лучевых методов. Тем не менее обнаружены значимые возрастные изменения среди исследуемых биохимических критериев (ММР-3, ММР-9, MMP-13, ИЛ-6) у пациентов (детей) с дисплазией тазобедренного сустава, подвергшихся хирургическому лечению.
Таким образом, следует отметить, что выявлена определенная закономерность, наличие зависимости от возраста концентраций сывороточных ММР-3 у детей до 5 лет и ММР-13 в общей группе, в случаях с признаками дегенеративных изменений в тазобедренных суставах у пациентов возрастной группы 3 показатели ММР-3 и MMP-13 возрастали. Выявление ассоциативно уровней ММР-13, ММР-3 и ИЛ-6 объясняется с позиции их роли при воспалительных и дегенеративных изменениях, а также взаимосвязи в механизме биохимических реакций выработки в организме человека. Полученные результаты согласуются с данными важной роли ММР-3 и ММР-13 в структуре внеклеточного матрикса, разрушающего коллаген II типа [6–8]. Механизм активизации металлопротеиназ (в том числе ММР-3 и ММР-13) через сигнальные белки S100A8 и A9, при этом активируя NF-kB рецепторы синовиальных фибробластов, высвобождение многих цитокинов, в том числе ИЛ-6. Это обусловливает высокую активность металлопротеиназ и интерлейкинов при остеоартрозе [9, 14].
Заключение
Проведенное исследование продемонстрировало возрастные изменения уровней сывороточных ММР-3, MMP-9, MMP-13, ИЛ-6 у детей с дисплазией тазобедренного сустава, что может отражать процессы реструктуризации (либо деградации) хрящевой ткани, в том числе при коксартрозе у детей и подростков. Дальнейшие исследования в этой области могут способствовать формированию алгоритма динамического наблюдения за уровнем биомаркеров с целью определения активности ранних дегенеративных изменений и возможного проведения профилактических лечебных мероприятий.



